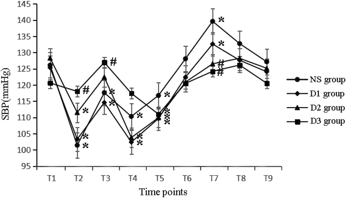
Fig. 3From: Effects of dexmedetomidine on intraoperative hemodynamics, recovery profile and postoperative pain in patients undergoing laparoscopic cholecystectomy: a randomized controlled trialThe hemodynamic changes in four groups at different time pointsBack to article page